چولگی یا خمیدگی در آمار چیست ؟ Skewness

چکیده مقاله :
در این مقاله می خواهیم در رابطه با چولگی یا خمیدکی توزیع داده ها صحبت کنیم تا بدانید که کلا skewness چیست و چه تفاوتی با کشیدگی دارد. چه تحلیلی در مسائل می توان از آن انجام داد و چه موقع منفی و چه موقع مثبت است و با ذکر مثال به تفسیر آن بپردازیم. نحوه محاسبه آن را با ذکر مثال و فرمول آن بیان می کنیم تا هیچ سوالی در این باره در حوزه تحلیل آماری نداشته باشید. پس تا پایان با ما همراه باشید.
1- چولگی چیست ؟
چولگی یا خمیدگی اندازه گیری اعوجاج توزیع متقارن یا عدم تقارن در یک مجموعه داده است. چولگی یا skewness در یک منحنی زنگی نشان داده می شود که نقاط داده به طور متقارن در سمت چپ و راست میانه روی یک منحنی زنگ توزیع نشده باشند. اگر منحنی زنگ به چپ یا راست منتقل شود، می گویند کج است.
skewness را میتوان بهعنوان نمایشی از میزان تفاوت یک توزیع معین از یک توزیع نرمال تعیین کرد. یک توزیع نرمال دارای یک انحراف صفر است، در حالی که یک توزیع لگ نرمال، برای مثال، مقداری انحراف راست را نشان می دهد.
نکات کلیدی
- چولگی، در آمار، درجه عدم تقارن مشاهده شده در توزیع احتمال است.
- توزیع ها می توانند چولگی راست (مثبت) یا چولگی چپ (منفی) را به درجات مختلف نشان دهند. یک توزیع نرمال (منحنی زنگی) چولگی صفر را نشان می دهد.
- سرمایهگذاران هنگام قضاوت در مورد توزیع بازده به چولگی سمت راست توجه میکنند، زیرا این توزیع، مانند کشیدگی یا kurtosis بیش از حد، به جای تمرکز صرفاً بر میانگین، تقاط دور مجموعه دادهها را بهتر نشان میدهد.
- skewness کاربران را از جهت پرت آگاه می کند، اگرچه تعداد نقاط پرت را به کاربران نمی گوید.
- skewness اغلب در بازده بازار سهام و همچنین توزیع متوسط درآمد فردی دیده می شود.
جهت آشنایی بیشتر می توانید مقاله زیر را با عنوان تحلیل آماری چیست مطالعه نمایید.
2- مفهوم چولگی یا خمیدگی در آمار
انواع مختلفی از توزیع ها و چولگی ها وجود دارد. “دم” یا رشته ای از نقاط داده دور از میانه برای هر دو انحراف مثبت و منفی تحت تاثیر قرار می گیرد. skewness منفی به دم درازتر یا چاق تر در سمت چپ توزیع اشاره دارد، در حالی که چول مثبت به دم درازتر یا چاق تر در سمت راست اشاره دارد. این دو انحراف به جهت یا وزن توزیع اشاره دارند.
علاوه بر این، یک توزیع می تواند دارای انحراف صفر باشد. انحراف صفر زمانی اتفاق می افتد که یک نمودار داده متقارن باشد. صرف نظر از اینکه دم های توزیع چقدر طولانی یا چاق هستند، یک انحراف صفر یا چولگی صفر نشان دهنده توزیع نرمال داده ها است. یک مجموعه داده همچنین می تواند skewness تعریف نشده ای داشته باشد اگر داده ها اطلاعات کافی در مورد توزیع آن ارائه ندهند.
میانگین داده های دارای انحراف مثبت بیشتر از میانه خواهد بود. در یک توزیع دارای انحراف منفی، دقیقاً برعکس است: میانگین داده های دارای انحراف منفی کمتر از میانه خواهد بود. اگر داده ها به صورت متقارن نمودار شوند، بدون در نظر گرفتن طول یا چاق بودن دم، توزیع دارای چولگی صفر است.
سه توزیع احتمالی که در زیر نشان داده شدهاند به میزان فزایندهای دارای انحراف مثبت (یا به راست) هستند. توزیع های دارای انحراف منفی نیز به عنوان توزیع های دارای انحراف چپ شناخته می شوند.
skewness همراه با کشیدگی یا kurtosis برای قضاوت بهتر در مورد احتمال وقوع رویدادها در انتهای توزیع احتمال استفاده می شود.
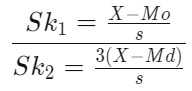
3- اندازه گیری چولگی
روش های مختلفی برای اندازه گیری skewness وجود دارد. ضریب چولگی اول و دوم پیرسون دو روش رایج هستند. اولین ضریب چولگی پیرسون یا چولگی حالت پیرسون، حالت را از میانگین کم می کند و تفاوت را بر انحراف استاندارد تقسیم می کند. دومین ضریب چولگی پیرسون یا چولگی میانه پیرسون، میانه را از میانگین کم می کند، اختلاف را در سه ضرب می کند و حاصلضرب را بر انحراف معیار تقسیم می کند.
1-3- فرمول چولگی پیرسون
که در آن:
- Sk1 = اولین ضریب skewness پیرسون و ضریب Sk2 دوم
- s=انحراف استاندارد برای نمونه
- X = مقدار میانگین است
- Mo=مقدار معین (حالت).
- Md=مقدار میانه است
اولین ضریب چولگی پیرسون در صورتی مفید است که داده ها حالت قوی داشته باشند. اگر دادهها حالت ضعیف یا حالتهای متعدد داشته باشند، ضریب دوم پیرسون ممکن است ارجح باشد، زیرا به حالت به عنوان معیاری برای گرایش مرکزی متکی نیست.
نکته: skewness به شما میگوید نقاط پرت کجا رخ میدهند، اگرچه به شما نمیگوید چند نقطه پرت رخ میدهد.
4- چولگی یا خمیدگی در آمار به شما چه تحلیل می دهد ؟
سرمایهگذاران هنگام قضاوت درباره توزیع بازده به چولگی توجه میکنند، زیرا این توزیع، مانند کشش یا kurtosis، به جای تمرکز صرف بر میانگین، نقاط دور مجموعه داده را در نظر میگیرد. سرمایهگذاران کوتاهمدت و میانمدت بهویژه باید به این داده ها توجه کنند، زیرا احتمال کمتری دارد که موقعیتی را به اندازهای طولانی حفظ کنند تا مطمئن باشند که میانگین به خودی خود جواب میدهد.
سرمایه گذاران معمولاً از انحراف استاندارد برای پیش بینی بازده آتی استفاده می کنند، اما انحراف استاندارد توزیع نرمال را فرض می کند. از آنجایی که تعداد کمی از توزیعهای بازگشتی به حالت عادی نزدیک میشوند، چولگی معیار بهتری برای پایهگذاری پیشبینیهای عملکرد است. این به دلیل ریسک چولگی است.
ریسگ چولگی افزایش خطر ایجاد یک نقطه داده با چولگی بالا در یک توزیع کج است. بسیاری از مدلهای مالی که تلاش میکنند عملکرد آینده یک دارایی را پیشبینی کنند، توزیع نرمال را فرض میکنند که در آن معیارهای گرایش مرکزی برابر هستند. اگر داده ها دارای انحراف باشند، این نوع مدل همیشه ریسک skewness را در پیش بینی های خود دست کم می گیرد. هر چه داده ها انحراف بیشتری داشته باشند، دقت این مدل مالی کمتر خواهد بود.
5- مثالی از توزیع دارای چولگی غیر صفر
انحراف از بازدههای «نرمال» در دو دهه اخیر، با شروع حباب اینترنت در اواخر دهه 1990، با فراوانی بیشتری مشاهده شده است. در واقع، بازده دارایی ها به طور فزاینده ای دارای انحراف راست هستند. این نوسانات با رویدادهای مهمی مانند حملات تروریستی 11 سپتامبر، فروپاشی حباب مسکن و بحران مالی متعاقب آن، و در طول سالهای تسهیل کمی (QE) رخ داد.
بازار سهام گسترده اغلب دارای یک توزیع منحرف منفی در نظر گرفته می شود. تصور این است که بازار اغلب یک بازده مثبت کوچک و اغلب یک زیان منفی بزرگ برمی گرداند. با این حال، مطالعات نشان داده اند که ارزش سهام یک شرکت ممکن است به سمت چپ گرایش داشته باشد.
یک مثال رایج از skewness، توزیع درآمد خانوار در داخل ایالات متحده است، زیرا افراد کمتر احتمال دارد که درآمد سالانه بسیار بالایی کسب کنند. به عنوان مثال، آمار درآمد خانوار 2020 را در نظر بگیرید. کمترین پنجک درآمد بین 0 تا 27026 دلار بود، در حالی که بالاترین پنجک درآمد بین 85077 دلار تا 141110 دلار بود.با توجه به اینکه بالاترین پنجک بیش از دو برابر کوچکترین پنجک است، نقاط دادهای با درآمد بالاتر پراکندهتر هستند و باعث ایجاد یک توزیع دارای انحراف مثبت میشوند.
6- سوالات پرتکرار
1-6- چولگی به ما چه می گوید؟
چولگی جهت نقاط پرت را به ما می گوید. در یک انحراف مثبت، دم یک منحنی توزیع در سمت راست بلندتر است. این بدان معنی است که نقاط پرت منحنی توزیع بیشتر به سمت راست و به میانگین در سمت چپ نزدیکتر هستند. چولگی تعداد نقاط پرت را مشخص نمی کند. این فقط جهت نقاط پرت را اعلام می کند.
2-6- چه چیزی باعث کژی می شود؟
skewness به سادگی بازتابی از یک مجموعه داده است که در آن فعالیت به شدت در یک محدوده متراکم شده و در محدوده دیگر کمتر متراکم می شود. تصور کنید نمرات در مسابقات پرش طول المپیک اندازه گیری شود. بسیاری از جامپرها احتمالاً در فواصل بزرگتری فرود می آیند، در حالی که تعداد کمتری احتمالاً در فواصل کوتاه فرود می آیند. این اغلب یک توزیع به سمت راست ایجاد می کند. بنابراین، رابطه بین نقاط داده و تعداد دفعات وقوع آنها باعث ایجاد چولگی می شود.
3-6- آیا چولگی طبیعی است؟
چولگی معمولاً هنگام تجزیه و تحلیل مجموعه دادهها مشاهده میشود، زیرا شرایطی وجود دارد که در آن skewness صرفاً جزئی از مجموعه دادههای مورد تجزیه و تحلیل است. برای مثال، میانگین طول عمر انسان را در نظر بگیرید. از آنجایی که بیشتر افراد پس از رسیدن به سن مسن تمایل به مرگ دارند، افراد کمتری نسبتاً تمایل دارند در جوانی از دنیا بروند. در این حالت چولگی مورد انتظار و طبیعی است.
4-6- چولگی زیاد به چه معناست؟
skewness زیاد به این معنی است که یک منحنی توزیع دارای یک دم کوتاه تر در یک انتها یک منحنی توزیع و یک دنباله بلند در سمت دیگر است. مجموعه داده از منحنی توزیع نرمال پیروی می کند. با این حال، داده های اریب بالاتر به این معنی است که داده ها به طور مساوی توزیع نشده اند. نقاط داده به دلیل ماهیت داده های زیربنایی به نفع یک طرف توزیع است.
مدیر2025-10-08T21:52:06+03:30اکتبر 8, 2025|0 Comments
چکیده مقاله: مدل های زبانی بزرگ (LLM) یکی از مهم ترین دستاوردهای هوش مصنوعی در سال های اخیر به شمار می روند. این مدل ها با استفاده از حجم عظیمی از داده های متنی [...]
مدیر2025-10-07T18:10:14+03:30اکتبر 7, 2025|0 Comments
چکیده مقاله: تفاوت هوش مصنوعی و یادگیری ماشین در درک مفاهیم بنیادی این دو حوزه بسیار اهمیت دارد. هوش مصنوعی به طور کلی به شاخه ای از علوم کامپیوتر گفته می شود که هدف [...]
مدیر2025-10-06T00:52:22+03:30اکتبر 6, 2025|0 Comments
چکیده مقاله: کاربرد هوش مصنوعی در دیجیتال مارکتینگ به عنوان یکی از مهم ترین تحولات دنیای بازاریابی مدرن شناخته می شود. این فناوری با ترکیب قدرت داده، الگوریتم های یادگیری ماشین و تحلیل رفتار [...]
مدیر2025-10-05T00:03:44+03:30اکتبر 5, 2025|0 Comments
پزشکی از راه دور طی سال های اخیر به یکی از مهم ترین تحولات حوزه سلامت تبدیل شده است. رشد جمعیت، پراکندگی جغرافیایی بیماران و کمبود دسترسی به متخصصان، باعث شد که خدمات درمانی [...]
مدیر2025-10-03T14:30:43+03:30اکتبر 3, 2025|0 Comments
چکیده مقاله: یادگیری هوش مصنوعی چقدر طول میکشد؟ این سوالی است که بسیاری از علاقه مندان به این حوزه به دنبال پاسخ آن هستند. ورود به دنیای هوش مصنوعی به سطح دانش اولیه هر [...]
مدیر2025-10-02T15:32:13+03:30اکتبر 2, 2025|0 Comments
چکیده مقاله: کاربرد VBA در اکسل یکی از مهم ترين روش ها برای افزايش کارايی و بهره وری در محيط کار با داده ها می باشد. با استفاده از VBA کاربران می توانند فرآيندهای [...]